[RuixiBio] PLGA-PEG-COOH

R-PL1004
| MW of PEG | 1000 Dalton,2000 Dalton,3400 Dalton,5000 Dalton |
| MW of PLGA | As your request |
| LA:GA | 90:10, 85:15, 75:25, 70:30, 50:50 |
| PDI by GPC | <1.5 |
| Substitution by NMR | COOH>90% |
| Reactive group | Amine |
| Solubility | Dichloromethane, Chloroform |
| Storage | -20℃ protected from light and moisture |
| Transportation | 4-25℃ temperature for up to 2 weeks |
| Stability | 1 year |
| Literature author | Yougan Chena , Yuanyuan Denga , Chenyao Zhub , Congming Xiang |
| Document name | Anti prostate cancer therapy: Aptamer-functionalized, curcumin and cabazitaxel co-delivered, tumor targeted lipid-polymer hybrid nanoparticles |
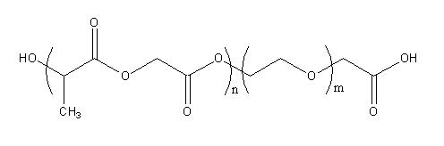
PLGA-PEG-COOH, Poly(L-lactide-co-glycolide)-Polyethyleneglycol-carboxyl is a biodegradable functional amphiphilic block copolymer fordrug delivery. PLGA-PEG-COOH can conjugate with peptides, antibodies, proteinsand others which contain amine groups on the surface.
'RuixiBio' 카테고리의 다른 글
| [RuixiBio] PEG-COOH coating Fe3O4 nanoparticles,carboxyl function (0) | 2025.04.21 |
|---|---|
| [RuixiBio] Carboxyl Function Fluorescent Polystyrene Microparticles (red) (0) | 2024.03.27 |
| [Ruixibio] Citrate-stabilized Fe3O4 nanoparticles 20 nm (0) | 2024.01.16 |
| [Ruixibio] Linifanib (ABT-869) (0) | 2022.09.22 |